これは Livesense Advent Calendar 2023 DAY 6 の記事です。

リブセンスでデータサイエンティストをしている北原です。先日開催された第25回日本感性工学会大会での紹介型マッチングアプリknewに関する発表紹介の続きです。
前回に引き続き、分析で知りたいことは「どうすればknewでモテるのか」です。knewではビデオチャットの相手が「かわいい」と「かっこいい」のどちらに近いかといった、どちらのタイプに近いかを表す評価データ(対称多段階評価)を収集しています。今回はその対称多段階評価データと満足度との関係を分析し、どちらのタイプに近いとモテるのかを調べています。
対称多段階評価
UI
本記事で紹介するのは、ビデオチャット後に入力してもらう満足度と対称多段階評価データとの関係を分析した結果です。対称多段階評価とここで呼んでいるのは、反対の意味をもつ2値のどちらに近いかを多段階で評価し入力してもらったものです。UIを見てもらえば「あれかっ!」とわかると思います。満足度と対称多段階評価は、以下のようなUIです。満足度は0から10までの11段階、対称多段階評価は1から7までの7段階のデータです。

対称多段階評価データの具体的な内容は以下のとおりです。基本的に、いずれかの満足度への寄与を想定して対称多段階評価の質問が作られていて、上から順番に容姿、印象・雰囲気、会話の満足度に対応しています。なお、+印の意味については次節で説明します。

分析方法
前回に引き続き、分析方法はシンプルに線形回帰を使っています。各満足度を目的変数とし、対称多段階評価データを説明変数としています。
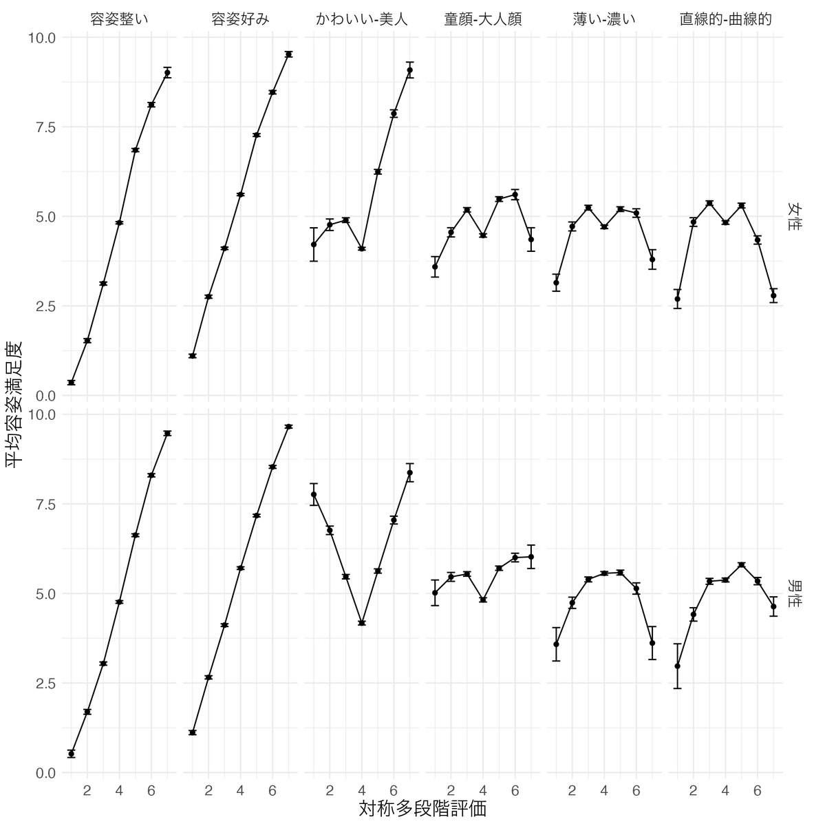
対称多段階評価データは、2つの質問を1つにまとめたものなので扱いにくいところがあり、データ項目によっては変換を行っています。どんな扱いにくさがあるかを見るために、男女別に対称多段階評価の値ごとに平均容姿満足度を計算してプロットしたものが以下の図です。

容姿が整っているかと容姿の好みは評価値が高くなるほど平均容姿満足度も高くなりますが、他では中間の4点を中心に左右対称になっているものが多いことがわかります。重回帰では他の変数の影響を受けるため、単変数同士で左右対称の傾向があっても問題ないこともありますが、説明変数の値が大きくなるほど満足度も高くなるという線形な関係がみられるほうが有意な結果が得られやすいです。そのため、容姿が整っているかと容姿の好みのようなデータはそのまま説明変数として用いても問題ないのですが、他についてはそのまま用いると意味のない結果になりやすいです。そこで、中間に近いほど値が小さくなり、両端になるほど値が大きくなるように変換をしています。具体的には、以下のようなシンプルな変換をしています。どのデータを変換するかは変換することによって、データへの当てはまりがよくなったかで決めました(調整済み決定係数を利用)。この変換が行われた変数名には+印が付けられています。
| 元の値 | 変換後 |
|---|---|
| 1 | 3 |
| 2 | 2 |
| 3 | 1 |
| 4 | 0 |
| 5 | 1 |
| 6 | 2 |
| 7 | 3 |
なお、変換した対称多段階評価の値ごとに平均容姿満足度を計算してプロットすると以下の図のようになります。「かわいい-美人」についてはきれいな線形関係が見られます。他については中間の4点(変換後の0点)で満足度が下がる傾向があるため、ややいびつではありますが概ね線形な関係が見られることがわかります。

結果
結果の見方
容姿、容姿の好み、印象、会話の順に、結果を見ていきましょう。結果は回帰係数の推定値のグラフで示します。+印がついていない変数については、該当項目が1点上がったら満足度がどれくらい変化しているかを示しているものだと考えてください。例えば、「大人しい-活発」の係数が1ならば、1点分「活発」に近づくと満足度が1上がっていると読み取ります。+印がついている変数については、該当項目が1点分両極端な回答に近づいたら満足度がどれくらい変化しているかを示しています。例えば、「薄い顔-濃い顔」の係数が1ならば、1点分薄い顔か濃い顔のいずれかに近づいたら満足度が1上がっていると読み取ります。男女の比較をしやすいように、良い点・改善点ごとに男女の結果を並べたグラフにしています。エラーバーは標準誤差です。
容姿
まず、容姿満足度に関係する対称多段階評価の係数です。

容姿満足度は「好み」と「整っているか」でほぼ決まる
すぐに気づくのは「容姿が好みでない-好み」と「容姿整っていない-いる」の係数が極端に大きいことです。容姿が整っていると、容姿が好みと評価される傾向があることもわかっているので、結局のところ美男美女に対する容姿満足度が高いということをこの結果は表しています。でもこれがマッチングアプリの現実です。モテるために「美男美女になれ」というのはなかなか難しいので、次節で容姿の好みについてもう少し調べてみましょう。
容姿の好み
満足度ではないのですが、容姿満足度に大きく影響する容姿の好みを目的変数として、「容姿が整っていない-いる」以外の変数を説明変数としたときの結果について見てみましょう。

「かわいい」もしくは「かっこいい・美人」が好まれる
まず「かわいい-かっこいい・美人」の係数が大きいことがわかります。+印がついているので、「かわいい」もしくは「かっこいい・美人」のいずれかに近いほど容姿の好みの評価が高くなることを示しています。「かわいい」にしても「かっこいい・美人」にしてもよい意味で使われることが多いことが影響しているのでしょう。この部分を改善するというのは難しいですが「かわいい」もしくは「かっこいい・美人」のいずれかに自己ブランディングをするのがよいかもしれません。なお、今回の分析には含まれていないものの、女性はかわいいタイプよりかっこいいタイプを好むことがわかっているので、男性は基本的に「かわいい」より「かっこいい」を目指した方がよいです。
癖のない平均顔が好まれる
「童顔-大人顔」「薄い顔-濃い顔」「直線的-曲線的」はマイナスになっているところが特徴です。いずれも+印がついているのでどちらでもないことを表す中間評価であるほど容姿の好みの評価が高くなっていることを示しています。つまり、特徴のない顔立ちほど評価が高い傾向があります。おそらく、これは平均顔が好まれることを表しているのでしょう。女性の場合、メイクで特徴的な顔立ちを和らげるのが有効かもしれません。
印象・雰囲気
次は、印象・雰囲気満足度に関係する対称多段階評価の係数です。

清潔感が圧倒的に大事
印象・雰囲気満足度については、清潔感が圧倒的に影響が大きいです。女性より男性のほうが係数が大きいのが興味深いところですが、男女とも清潔感が高いほど印象・雰囲気満足度が高くなっています。よく言われることかもしれませんが、清潔感を出しましょうということです。
活発で華やかな雰囲気を出そう
清潔感に次いで大きいのは「大人しい-活発」と「素朴-華やか」です。大人しい人より活発な人のほうが、素朴なタイプより華やかなタイプのほうが印象・雰囲気満足度が高い傾向にあります。ビデオチャットだと光の当たり具合を調節しないと暗い感じに見えやすくなるので、大人しかったり素朴だったりする人だとマイナス評価になりやすいのではと思います。普段より活発に振る舞い、華やかな印象の服装やメイクにするのがよいでしょう。
会話
最後は、会話満足度に関係する対称多段階評価の係数です。

共通の話題について話そう
係数の絶対値が最も大きいのが「新鮮な話題-共通の話題」です。新鮮な話題より共通の話題を話した方が会話満足度が高い傾向にあります。新鮮な話題が悪いわけではないですが、それよりも共通の話題を話した方が会話が盛り上がりやすいのだと思います。自分と似ている人に好意をもちやすいという同類選好があることが知られていますが、共通の話題を話すことで同類と思われやすくなることがプラスに働いているのだと思います。もし相手との共通点があれば、共通の話題を話した方がよいでしょう。
真面目な話より笑える話をしよう
「新鮮な話題-共通の話題」に次いで係数の絶対値が大きいのが「笑える話-まじめな話」です。特に男性より女性のほうが強めに影響しているようです。knewのビデオチャットの傾向としては、暗い話より明るい話をしたほうが評価が高い傾向が見られます。真面目な話だと暗い印象になりがちで笑える話だと明るい印象になりやすいので笑える話をしたほうが高い評価になりやすいのだと思います。軽薄と思われない範囲内で笑える話をしたほうがよいでしょう。
話は自分から積極的に色々話そう
「話をよく聞く-よくする」と「1つの話題-たくさんの話題」だと、よく聞くタイプより話をするタイプの評価が高く、1つの話題よりたくさんの話題をするほうが評価が高い傾向があります。ビデオチャットでは実対面と比較して沈黙による気まずさが強いので、聞くタイプより話すタイプのほうが評価が高くなるのかもしれません。また、鉄板ネタなど1つの話題で盛り上がればよいですが、そうでない場合は複数の話題を出しながら話しやすい話題を探っていくことが多いので、話題が1つしかないと評価が下がりやすいのだと思います。基本的には、自分から積極的に様々な話題を出しながら会話をするのがよいでしょう。
まとめ
今回は満足度と対称多段階評価データの関係を調べることで、異性から高く評価されるためにはどのようにすればよいかについて再度考えました。評価されやすくなるポイントをまとめると以下のようになります。
続・knewでモテる方法
男女共通
- 清潔感を出す
- 活発で華やかな雰囲気の服装にする
- 相手と共通する話題について話す
- 笑える話をする
- 話は自分から積極的に行う
- 話題は複数用意しておく
女性
- かわいい系か美人系かのどちらかで自己ブランディングを明確にする
- 平均顔に近くなるようなメイクをする(直線的な顔立ちなら、丸みのある雰囲気になるようメイクする等)
男性
- かわいい系ではなくかっこいい系で自己ブランディングする(今回の分析の範囲外の結果による)
前回と今回のknewデータ分析記事では多くの人からよい評価が得られやすいことについて分析しました。しかし、人によっては「違うタイプが好みだ」という方もいるでしょう。人によって好みが異なることもわかっています。好みの違いに関する分析については、また別記事で紹介する予定です。